[论文阅读] 一种类HJT电池的新等效电路模型与深度学习求解方法
整体架构:

创新点:
-
SHJ,DFHJ(dopant-free heterojunctions)电池,薄膜硅电池以及钙钛矿太阳能电池有时会存在具有S型特征的IV曲线(the S-type character of the I-V curve),即IV曲线在最大功率点的地方发生弯曲,而且暗电流和光生电流的IV曲线存在差异(discrepancies),传统的单二极管电阻和多二极管电阻的等效模型无法体现。作者对SHJ电池相关的隧穿复合模型进行考虑($D_{p,TE,1}$,$R_T$),改进了多二极管电阻等效模型(7参数等效模型)。

-
求解二极管电阻模型参数的方法通常是外推法(extrapolation method)或直接求解,但这种方法还是较为费时,作者设计了一种1d-conv+MLPs的混合模型,选择实验数据和计算数据建立数据集,以iv曲线上数据点为输入,八参数为预测输出。有较好的回归精度(有些表现不算好,但计算出iv曲线效果很好)

具体内容:
1.选择一种DFSJ电池模型(图1)造了一个样品
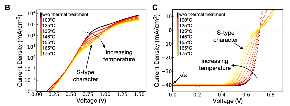
对样品进行不同温度的退火实验,获取了不同退火温度下的S型畸变IV曲线(图2)。作者提出高温退火导致电池后部的氧化层界面势垒增高,阻止载流子传输。

图1:DFSJ电池结构

图2:B是暗电流图像,C是光生IV
Q.为什么要做高温退火:
热退火处理是本体异质结、有机聚合物太阳能电池的制备过程中非常关键的一道工 序. 目前普遍认同经过热退火可以显著改善活性层 的形貌[7], 优化器件的性能.在高温退火的条件下, 可以促进相分离网络中的晶化[7], 以提高器件中电荷向电极的传输能力, 从而可提高器件的效率[8].
2.作者在TCAD软件中建模,引入多种隧穿模型来仿真这一现象
模型设置:
(1) 在$MoO_x$层设置trap-assisted tunneling (TAT),陷阱辅助载流子捕获或发射
(2)界面能带尖峰设置direct tunneling (DT)
(3)导带和价带间的带带隧穿band-to band tunneling (BTBT)
(4)载流子弛豫发射过程 thermionic emission (TE),可以等效成一个二极管(高能量时可以通过,但低能级时是无法自发到高能级上的,类似二极管的单向导通性)
hTE的二极管示意图是不是有问题呢?


图3:A.DFSJ能带 B.SHJ能带

图4:模型示例(二极管代表单向导通性,电阻代表隧穿质量)
氧化硅厚度和氧化钼的掺杂,功函数影响隧穿质量,进而导致S曲线
In addition, tunneling across the MoOx=a-Si:H(i) interface should also be efficient, which is influenced by the work function of MoOx, the distribution of traps for TAT, and the barrier introduced by the oxidation interlayer.

3.引入等效电路模型:

等效电路可由equation 1.描述,J是输出电流:

$V_{th}=kT/q$,为热电压,q, k,andT are the elementary charge con stant, Boltzmann constant, and temperature
反向隧穿结的电压$V_{p,Tun}$用equation 2限制


以上7个参数对S型曲线的不同影响:

4.建立深度学习模型,直接预测对应的7参数数值:
-
建立数据集:
数据集构成:7列标签,51列暗电流,51列光生电流,实验数据+Python随机生成数据
-
搭建网络结构:
结构图如下。
三个网络,网络1:暗电流先通过1d-conv提取特征,送入mlp训练
网络2:暗电流直接送入mlp,这是原始特征网络
网络3:光生电流与暗电流作差,求出位移量,送入mlp训练
三个网络的结果最后做concat,再送入1层mlp,降维到7个输出结果

talk is cheap, 看相关代码吧:
# combine dark and light class Net7(nn.Module): def __init__(self): super(Net7, self).__init__() self.cv_a1 = nn.Conv1d(1,2,5,padding=2) # in-channel, out-channel, kernel-size self.nm_a1 = nn.LayerNorm([2,51]) self.cv_a2 = nn.Conv1d(2,2,5,padding=2) self.nm_a2 = nn.LayerNorm([2,51]) self.fc_a1 = nn.Linear(51*2,128) self.nm_a3 = nn.LayerNorm(128) self.fc_a2 = nn.Linear(128,64) self.nm_a4 = nn.LayerNorm(64) self.fc_a3 = nn.Linear(64,32) self.nm_a5 = nn.LayerNorm(32) self.fc_a4 = nn.Linear(32,7) self.fc_b1 = nn.Linear(51,128) self.nm_b1 = nn.LayerNorm(128) self.fc_b2 = nn.Linear(128,64) self.nm_b2 = nn.LayerNorm(64) self.fc_b3 = nn.Linear(64,32) self.nm_b3 = nn.LayerNorm(32) self.fc_b4 = nn.Linear(32,7) self.cv_c1 = nn.Conv1d(1,2,5,padding=2) # in-channel, out-channel, kernel-size self.nm_c1 = nn.LayerNorm([2,36]) self.cv_c2 = nn.Conv1d(2,2,5,padding=2) self.nm_c2 = nn.LayerNorm([2,36]) self.fc_c1 = nn.Linear(36*2,128) self.nm_c3 = nn.LayerNorm(128) self.fc_c2 = nn.Linear(128,64) self.nm_c4 = nn.LayerNorm(64) self.fc_c3 = nn.Linear(64,32) self.nm_c5 = nn.LayerNorm(32) self.fc_c4 = nn.Linear(32,7) self.fc_d1 = nn.Linear(36,64) self.nm_d1 = nn.LayerNorm(64) self.fc_d2 = nn.Linear(64,32) self.nm_d2 = nn.LayerNorm(32) self.fc_d3 = nn.Linear(32,1) self.fc = nn.Linear(7*2+1,7) def forward(self, x1, x2): a = F.relu(self.nm_a1(self.cv_a1(x1))) a = F.relu(self.nm_a2(self.cv_a2(a))) a = a.view(a.shape[0],-1) # torch.flatten(x, 1), flatten all dimensions except the batch dimension a = F.relu(self.nm_a3(self.fc_a1(a))) a = F.relu(self.nm_a4(self.fc_a2(a))) a = F.relu(self.nm_a5(self.fc_a3(a))) a = self.fc_a4(a) b = x1.view(x1.shape[0],-1) b = F.relu(self.nm_b1(self.fc_b1(b))) b = F.relu(self.nm_b2(self.fc_b2(b))) b = F.relu(self.nm_b3(self.fc_b3(b))) b = self.fc_b4(b) # c = F.relu(self.nm_c1(self.cv_c1(x2))) # c = F.relu(self.nm_c2(self.cv_c2(c))) # c = c.view(c.shape[0],-1) # torch.flatten(x, 1), flatten all dimensions except the batch dimension # c = F.relu(self.nm_c3(self.fc_c1(c))) # c = F.relu(self.nm_c4(self.fc_a2(c))) # c = F.relu(self.nm_c5(self.fc_a3(c))) # c = self.fc_c4(c) d = x2.view(x2.shape[0],-1) - x1.view(x1.shape[0],-1)[:,-36:] d = F.relu(self.nm_d1(self.fc_d1(d))) d = F.relu(self.nm_d2(self.fc_d2(d))) d = self.fc_d3(d) x = self.fc(torch.cat((a,b,d),dim=1)) return x预测结果:测试集上平均RMSE 0.002,但部分参数回归精度感觉不算好

实际iv曲线预测效果,从图上看起来还可以:

感觉可以改进的创新点:
1.知道s型曲线的模型了,能拿来做些什么事呢?
2.深度学习网络结构可以改进:
用1d-conv的目的无非就是提取参数,但1d-conv表现不是最好的,换成transformer结构呢?
self-attention block可以提取数据之间以及数据本身的信息
残差块结构可以保留原始数据特征,就不用额外的mlp结构了