[论文阅读] GST 相变材料的光学常数测量
[论文阅读] GST 相变材料的光学常数测量
论文标题:Optical constants of germanium antimony telluride (GST) in amorphous, crystalline, and intermediate states
期刊:Optical Materials Express, Vol. 13, No. 12, 2023, pp. 3631–3640 DOI:10.1364/OME.506019 作者:Jesse A. Frantz, Jason D. Myers, Anthony Clabeau, Robel Y. Bekele, Nina Hong, Maria A. Vincenti, Marco Gandolfi, Jasbinder S. Sanghera(美国海军研究实验室(NRL)/ 布雷西亚大学 / J.A. Woollam 公司)
一、研究背景与动机
1.1 GST 相变材料简介
Ge₂Sb₂Te₅(GST)是一种硫族化物相变材料(PCM),由 Ovshinsky 在 1968 年首次报道,是目前最常用的相变材料之一。其核心特性是:
- 可在非晶态(amorphous) 和晶态(crystalline) 之间可逆切换
- 切换方式:热加热(直接加热 / 脉冲激光)或电场
- 两相之间电导率、光学常数、体积均发生剧烈变化
- 循环寿命极长(理论可达 ~10¹⁵ 次相变)
- 广泛应用于:可擦写 CD/DVD、集成光子开关、神经形态计算、可调超表面等
常见GST材料种类
- 典型组成
-
Ge₂Sb₂Te₅(GST-225):最经典的GST材料。 在晶态和非晶态之间具有显著的折射率和电阻率变化。 用于相变存储器(PCM)、光存储和光计算。
-
Ge~1~Sb~2~Te~4~(GST-124) 和 Ge~1~Sb~4~Te~7~(GST-147):
改变Ge/Sb/Te比例,可调整材料的相变温度、潜热和稳定性。 更适合特定的高速或高温应用。
- Sb~2~Te~3~、GeTe、Ge~15~Sb~85~:Sb和Te比例更高的材料,晶化速度更快,但稳定性略低。
- 改性GST材料
- GST-Si(掺硅):加入硅(Si)以增强材料的循环稳定性,减少相变过程中的体积变化。
- GST-Se(掺硒):替换部分碲(Te)为硒(Se),提高相变速度和材料稳定性,降低功耗。
- Ge-rich GST(富锗GST):增加锗含量以提高非晶态的热稳定性,适合长期存储。
- Sb-rich GST(富锑GST):增加锑含量以降低相变温度和加快晶化速度。
- 还可以掺氮,氧,碳,锡,钛,镍,铝等元素进行改性
- 掺杂技术的主要目标
- 提高相变速度:加快晶化过程,使材料适应更高的计算或存储速度需求
- 增强热稳定性:提高非晶态的热稳定性,避免高温下材料失效。
- 降低功耗:减少相变所需的能量,降低存储器件的运行功耗。
- 优化光学性能:增强材料的折射率对比度,提升光存储和光学计算的性能。
- 延长循环寿命:减少相变过程中的应力积累,提高器件的可靠性。
- 掺杂技术的实现方法
-
化学气相沉积(CVD)
将掺杂元素与GST材料的气相化合物同时沉积到基底上。 优势:均匀分布,适合大面积生产。
-
溅射法
使用含掺杂元素的多靶材进行共溅射,生成掺杂薄膜。
优势:成本低,易于控制掺杂比例。
-
离子注入
通过高能离子注入将掺杂元素直接注入GST薄膜中。 优势:掺杂精确,但可能引入结构损伤。
-
合金化方法
在材料熔炼过程中加入掺杂元素,形成均匀的合金。 优势:适合制作大块材料。
1.2 这篇文章研究动机
此前关于 GST 光学常数的测量工作存在两个主要缺口:
- 光谱范围窄:现有报道通常仅覆盖可见光至近红外,未覆盖中远红外(>5000 nm)
- 中间态缺失:已有数据仅针对完全非晶态和完全晶态,缺乏对部分晶化中间态光学常数的系统表征
而光子学应用(尤其是可调谐超表面、光子神经元等)越来越需要连续调谐中间态的光学常数数据,以实现精确的器件建模。
二、核心创新点
三项核心创新:宽谱 + 中间态定量表征 + 相变动力学参数提取
| # | 创新内容 | 意义 |
|---|---|---|
| 1 | 超宽波段(350–30,000 nm)光学常数测量 | 覆盖从可见光到远红外,为中红外应用提供完整数据 |
| 2 | 中间态光学常数的原位定量表征 | 首次系统给出部分晶化 GST 的 n(λ)、k(λ) 连续演化 |
| 3 | 用椭偏仪原位测量结晶激活能 | 将 SE + Avrami 方程联用,从光学测量提取热力学参数 |
三、研究内容与实验方法
3.1 样品制备
基底:钠钙玻璃(SLG)
↓
射频磁控溅射沉积 GST 薄膜
· 靶材:Ge₂Sb₂Te₅ 商用靶(7.6 cm 直径)
· 气氛:纯氩气,3 mTorr
· 功率:50 W
· 基底温度:室温(as-deposited 为非晶态)
↓
原子层沉积(ALD)覆盖 12 nm 氧化铝(Al₂O₃)钝化层
· 防止表面氧化
↓
背面喷砂处理
· 消除背面镜面反射,减少测量伪影
3.2 椭偏仪(SE)测量方案
本文使用两台 J.A. Woollam 椭偏仪覆盖不同波段:
| 仪器 | 波段 | 用途 |
|---|---|---|
| M-2000 | 190–1,690 nm | 可见光/近红外,室温多角度测量 |
| IR-VASE | 1,700–30,000 nm | 中远红外,室温多角度测量 |
室温测量:在 55°、65°、75° 三个入射角下测量 Ψ 和 Δ,分别对 钠钙玻璃(soda lime glass, SLG)、Al₂O₃、非晶 GST、晶态 GST 进行表征。
原位变温测量:
- 安装 Linkam THMS600 加热台(含 ZnSe 红外透射窗口)
- 波段缩减至 ~1,900–17,000 nm(受窗口限制)
- 仅能使用单角度 70°(受加热台几何约束)
- 升温方案:120 °C 稳定 → 以 10 min 为步长升温 → 在各设定温度保温 10 min 后进行 ~30 min 的 SE 测量
3.3 介电函数模型
椭偏仪的核心是将测量的 (Ψ, Δ) 与模型计算值拟合,从而提取光学常数。
基本定义
\[\frac{R_p}{R_s} = \tan(\Psi) \cdot e^{i\Delta}\]Ψ 对应 p/s 偏振反射幅度比,Δ 对应相位差。
介电函数总模型
采用 Kramers-Kronig 自洽广义振子模型:
\[\varepsilon(E) = \varepsilon_1(E) - i\varepsilon_2(E) = \sum_j \left[\varepsilon_{1,j}(E) - i\varepsilon_{2,j}(E)\right]\]包含以下三种振子项:
① 极点项(Pole) — 描述测量范围外的高能吸收贡献:
\[\varepsilon_{1,p}(E) = 1 + \frac{A_0}{E_0^2 - E^2}\]参数:$E_0$(振子位置)、$A_0$(振子强度)
② Tauc-Lorentz 项 — 描述带间电子跃迁(非晶态和晶态均使用):
\[\varepsilon_{2,TL}(E) = \frac{A_{TL} \cdot E_{TL} \cdot C_{TL} \cdot (E - E_g)^2}{(E^2 - E_{TL}^2)^2 + C_{TL}^2 E^2} \cdot \frac{1}{E} \quad (E > E_g)\]参数:$E_{TL}$(跃迁能量峰值)、$A_{TL}$(振幅)、$C_{TL}$(展宽)、$E_g$(光学带隙)
③ Rho-tau Drude 项 — 仅用于晶态,描述自由载流子的红外吸收:
\[\varepsilon_{2,RT}(E) = \frac{-\hbar^2}{\varepsilon_0 \rho (\tau E^2 + i\hbar E)}\]参数:$\rho$(电阻率)、$\tau$(载流子弛豫时间)
物理意义:晶态 GST 中出现 Drude 项,说明晶化后产生了大量自由载流子(金属性增强),这是晶态 GST 在红外波段强吸收的根本原因。

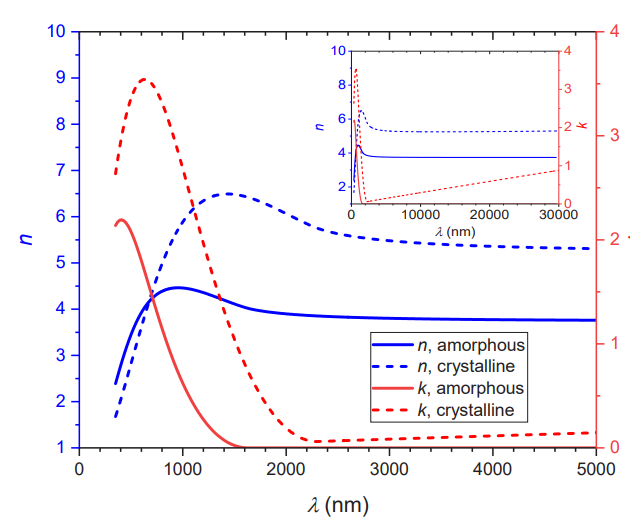
上图是公式理论计算出来的结果,图中展示了350~5000nm波长范围内的nk值,小图内的是350~30000nm范围的全波长数据,对应数据在文章的supplement material中有。模型对应的计算用的参数见下述Table 1
3.4 中间态:有效介质近似(EMA)
对于部分晶化状态(非晶体积分数 $1-f_c$,晶体体积分数 $f_c$),采用线性有效介质近似:
\[\varepsilon_{\text{eff}}(E) = (1 - f_c) \cdot \varepsilon_{\text{amor}}(E) + f_c \cdot \varepsilon_{\text{crys}}(E)\]同时,薄膜厚度随晶化率线性变化(在相变温度点附近):
\[t = t_a - f_c \times (t_a - t_c)\]通过将此模型拟合原位 SE 数据,可同时提取 $f_c$、$t$、$n(\lambda)$、$k(\lambda)$。

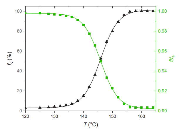
文中对GST在不同温度下的结晶分数$f_c$和对应的薄膜相对厚度($t/t_{a}$,$t$对应当前温度厚度,$t_a$对应低温非晶态的厚度)进行了研究,可以观察到其相变温度点大概在145℃(此时$f_c \approx 50\%$),对应薄膜收缩5%


同时如上两幅nk曲线,升温过程中n和k值均整体上移
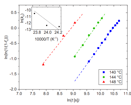
3.5 激活能测量(Avrami 方程)
什么是激活能:
激活能(Activation Energy, $E_A$ )在此处指 GST 材料从非晶态转变为晶态所需的活化能。(“the minimum energy per molecule required to cause the phase transition”)
在 140 °C、144 °C、148 °C 三个固定温度下,周期性重复 SE 测量,跟踪 $f_c(t)$。

利用 Avrami 方程(描述相变动力学):
\[f_c(t) = 1 - e^{-k_c(t)^{n_A}}\]线性化为:
\[\ln(-\ln[1 - f_c(t)]) = \ln(k_c) + n_A \ln(t)\]
以 $\ln t$ 为横坐标作图,斜率得 $n_A$(成核速率指数),截距得 $\ln(k_c)$(结晶速率)。
再利用 Arrhenius 方程:
\[\ln(k_c) = -\frac{E_a}{k_B T} + \text{const}\]以 $1/T$ 为横坐标对 $\ln(k_c)$ 作图,斜率即为 $-E_a/k_B$,从而提取激活能 $E_a$。(其拟合图如上图中的小图所示)
四、主要结果
4.1 非晶态与晶态的光学常数
最佳拟合参数汇总(Table 1):
| 振子参数 | 非晶态 | 晶态 |
|---|---|---|
| $E_0$ (Pole, eV) | 11.0 | 11.0 |
| $A_0$ (Pole) | 172.0 | 280.6 |
| $E_{TL}$ (eV) | 2.316 | 1.356 |
| $A_{TL}$ | 125.6 | 200.2 |
| $C_{TL}$ (eV) | 3.914 | 2.229 |
| $E_g$ (eV) | 0.7593 | 0.5358 |
| $\rho$ (Ω·cm) | — | 0.01926 |
| $\tau$ (fs) | — | 0.1962 |
厚度变化:非晶态 $t_a = 97.1$ nm,晶态 $t_c = 87.7$ nm,体积收缩 9.7%(与文献一致)
n(λ) 和 k(λ) 关键数值
| 状态 | n 峰值 | n 峰位置 | n(>5000 nm 平台) | k 近零波长范围 |
|---|---|---|---|---|
| 非晶态 | 4.463 | λ ≈ 950 nm | ~3.7 | λ > 1630 nm,k ≈ 0 |
| 晶态 | 6.491 | λ ≈ 1430 nm | ~5.3 | k 在 ~2300 nm 处最小,之后线性增大 |
| Δn(非晶→晶) | — | — | ~1.6 | — |
关键结论:晶态 GST 的折射率 n 远大于非晶态,在 5000 nm 以上的中红外平台区 Δn ≈ 1.6。这一巨大的折射率差正是 GST 用于相变光子器件的物理基础。
4.2 相变机制的光学体现
两态光学性质差异的物理根源:
| 性质 | 非晶态 | 晶态 | 机制 |
|---|---|---|---|
| 带隙 Eg | 0.759 eV | 0.536 eV | 晶化后共价键→共振键,带隙收窄 |
| 红外吸收 | 无自由载流子贡献(k≈0) | 有 Drude 自由载流子贡献(k 随 λ 增大) | 晶态金属性增强 |
| 折射率 n | 低(峰值 4.46) | 高(峰值 6.49) | 极化率增大(共振键效应) |
| Eg 展宽 CTL | 3.914 eV(宽) | 2.229 eV(窄) | 无序→有序,能带展宽减小 |
4.3 中间态的连续演化
原位变温 SE 测量结果(图 2):
- 在 120 °C 时,$f_c = 0\%$,$t/t_a = 1.0$(完全非晶)
- 随温度升高,$f_c$ 和 $t/t_a$ 均呈 S 形(sigmoid) 变化
- 相变中心温度约为 T ≈ 145 °C
- 在 158 °C 时,$f_c \approx 100\%$,$t/t_a \approx 0.903$(完全晶化)
- 冷却至 25 °C 后再次测量,确认 $f_c$ 不发生逆转(相变不可逆,至少不需要重新淬火)
n(λ) 和 k(λ) 的演化(图 3、图 4):
- n 随 $f_c$ 增大而单调增大,光谱峰位从 ~950 nm 红移至 ~1430 nm
- k 在近红外透明窗口逐渐消失(晶化后近红外不再透明),同时远红外自由载流子吸收增强
实用意义:通过精确控制退火条件,可将 GST 的 n 调至 0–100% 结晶度范围内任意目标值,从而实现连续可调谐光子器件。
4.4 相变激活能
Avrami 分析结果:
| 温度 | $n_A$(成核指数) | $\ln(k_c)$ |
|---|---|---|
| 140 °C | 1.20 | −12.54 |
| 144 °C | 1.26 | −12.37 |
| 148 °C | 1.18 | −10.49 |
- $n_A \approx 1.2$(接近 1),表明接近恒定速率成核
- 通过 Arrhenius 图,提取激活能:
文献中慢速升温条件下的 GST 激活能通常为 2.2–3.0 eV,本文测量值略高但在不确定度范围内。作者指出更多温度点的测量可以降低不确定度。
五、研究结论
-
宽谱光学常数数据库:在 350–30,000 nm 的超宽波段系统给出了非晶态和晶态 GST 的 n(λ)、k(λ),并提供了完整的振子模型拟合参数(公开为 CSV 数据文件)
-
晶态 GST 的自由载流子特征:晶态需引入 Drude(Rho-tau)项,说明晶化后 GST 具有显著的金属自由载流子特性,是中远红外强吸收(高 k)的根本原因
-
中间态定量表征方法:线性 EMA 模型可以有效描述部分晶化 GST 的光学常数,通过原位 SE 可同时确定晶化分数 $f_c$、薄膜厚度 $t$ 和光学常数 n/k
-
相变动力学参数:结合 Avrami + Arrhenius 分析,从椭偏测量提取了 GST 的结晶激活能 $E_a = 3.8 \pm 1.9$ eV,验证了这种光学方法提取热力学参数的可行性
六、关于 GST 相变光学特性的专题归纳
本节针对读者关注的 GST 相变光学特性与相变机制进行重点提炼。
6.1 相变光学特性对比
非晶态(amorphous)GST
· 结构:短程有序、长程无序(玻璃态)
· 带隙:Eg = 0.759 eV(较宽)
· 折射率:n 峰值 4.463 @ λ=950 nm;中红外平台 n ≈ 3.7
· 消光:λ > 1630 nm 时 k ≈ 0(中红外透明)
· 电学:半导体(高电阻率)
晶态(FCC crystalline)GST
· 结构:面心立方晶格(FCC),长程有序
· 带隙:Eg = 0.536 eV(变窄)
· 折射率:n 峰值 6.491 @ λ=1430 nm;中红外平台 n ≈ 5.3
· 消光:k 在 ~2300 nm 后随波长线性增大(自由载流子吸收)
· 电学:准金属(低电阻率,ρ = 0.019 Ω·cm)
相变引起的变化:
· Δn ≈ 1.6(中红外平台区)
· Δk 从 ~0 增至显著值(中远红外)
· 体积收缩 ~10%(晶化时致密化)
· Eg 收窄 0.22 eV
6.2 相变机制
GST 的非晶→晶(amorphous → FCC crystalline)相变机制:
(1)化学键性质变化(共振键效应)
- 非晶态:Ge、Sb、Te 之间形成共价键,键角和键长分布宽(无序)
- 晶态:形成共振键(resonant bonding)——p 轨道电子在相邻原子间离域,引起极化率显著增大,折射率大幅升高
共振键是 GST 及同类相变材料折射率高于非晶态的根本原因(Shportko 等,Nature Materials, 2008)
(2)自由载流子产生
- 晶化后,由于共振键中的电子离域化,产生大量自由载流子
- 导致电导率跃升(绝缘→准金属),同时在红外波段出现 Drude 型自由载流子吸收(k 随波长线性增大)
- 本文通过 Rho-tau Drude 项的出现直接佐证了这一机制
(3)热激活成核-生长动力学
- 相变是热激活过程:需要跨越激活能势垒 $E_a$(本文测量值 3.8 eV)
- 动力学服从 Avrami 方程,$n_A \approx 1.2$ 表明为近恒定速率成核
- 相变温度约 145–150 °C(在 SE 原位测量中观察到 sigmoid 型的 $f_c$–T 曲线)
- 相变不可逆(需熔化淬火才能回到非晶态)
(4)体积收缩
- 晶化过程伴随约 10% 体积收缩(本文测量为 9.7%)
- 来源:非晶态中 Te-Ge-Te 弯曲键折叠,晶化后形成更致密的 FCC 堆积
- 这一收缩在集成器件中会引入机械应力,是需要考虑的工程因素
6.3 中间态的调控价值
f_c = 0% → 100% 连续可调
n(@λ=5μm)≈ 3.7 → 5.3 Δn ≈ 1.6 可连续覆盖
k(@λ=5μm)≈ ~0 → 显著
应用:
· 多级光存储(超越二值,实现模拟存储)
· 连续可调光子器件(微环谐振器、超表面、波导开关)
· 神经形态光子计算(突触权重模拟)
七、方法论价值与局限
优点
- SE 方法非破坏性,可同时获得光学常数和厚度信息
- 原位测量避免了冷却-再加热的额外热历史引入
- 线性 EMA 简单有效,对 GST 等各向同性材料已足够精确
- 数据覆盖 350–30,000 nm 超宽范围,填补了中远红外数据空白
局限
- 原位测量受热台几何约束,仅能单角度,降低了拟合冗余度
- 测量过程中晶化仍在进行,引入动态误差
- 激活能测量的样品数有限(仅 3 个温度点),不确定度较大(±1.9 eV)
- EMA 假设非晶/晶相均匀混合,实际中可能存在空间不均匀性
八、关键数据速查表
| 参数 | 非晶态 GST | 晶态 GST |
|---|---|---|
| 光学带隙 Eg | 0.759 eV | 0.536 eV |
| n 峰值 | 4.463 @ 950 nm | 6.491 @ 1430 nm |
| n(中红外平台,>5000 nm) | ~3.7 | ~5.3 |
| Δn(非晶→晶,中红外) | — | ~1.6 |
| k | λ > 1630 nm 时 ≈ 0 | ~2300 nm 后线性增大 |
| 薄膜厚度(97.1 nm 非晶起始) | 97.1 nm | 87.7 nm(收缩 9.7%) |
| 电阻率 ρ | (绝缘) | 0.019 Ω·cm |
| 载流子弛豫时间 τ | — | 0.196 fs |
| 相变温度(原位 SE) | — | ~145 °C(中心) |
| 结晶激活能 Ea | — | 3.8 ± 1.9 eV |
| Avrami 指数 nA | — | ~1.2(接近恒定速率成核) |
九、参考文献摘要(与 GST 相变机制直接相关)
| 编号 | 内容 |
|---|---|
| [2] Kolobov et al., Nat. Mater. 2004 | 理解可擦写光学介质的相变机制(经典论文) |
| [3] Wuttig & Yamada, Nat. Mater. 2007 | 相变材料用于可擦写数据存储(综述) |
| [5] Shportko et al., Nat. Mater. 2008 | 共振键是晶态高折射率的根本原因(关键机制论文) |
| [7] Wuttig et al., Nat. Photon. 2017 | 相变材料用于非易失性光子应用(综述) |
| [13] Fillot et al., J. Appl. Cryst. 2018 | 原位 X 射线散射研究 GST 晶化(体积收缩 ~10%) |
| [31] Choi et al., Electrochem. Solid-State Lett. 2009 | GST 非晶薄膜结晶激活能随升温速率的变化 |